ISSN - 0973-0958

Pediatric Oncall Journal

Comparison of Neutrophil Apoptosis by the Pseudomonas Aeruginosa Exotoxins between Healthy Adults, Immunocompromised Children and Neonate 01/09/2014 00:00:00 https://www.pediatriconcall.com/Journal/images/journal_cover.jpg

Comparison of Neutrophil Apoptosis by the Pseudomonas Aeruginosa Exotoxins between Healthy Adults, Immunocompromised Children and Neonate

Soheila Khazaee, A Karimi, F Fallah, Afjai S. Taheri, Fahimzad, SH Armin.
Ilam University, Iran.

ADDRESS FOR CORRESPONDENCE
Soheila Khazaee, Iran-Tehran-3rahe Taleghani-Ebtedaye Khaje Nasir-Koche Taherian-Mojtamae Maskoni Sabz-Vahede35.
Email: khazaee_md@yahoo.com
Abstract
Background: Pseudomonas aeruginosa (P.A) is the leading agent in nosocomial infections. Multi-drug resistance is the main problem of P.A infections especially in cystic fibrosis, chronic bronchitis, skin infection and burned patients infection. Thus paying more attention to the pathogenetic mechanisms of Pseudomona is crucial for its prevention and control.

Method & Material : In this survey, 81 blood samples of healthy adults, neonates, ill children and premature babies were withdrawn. After the isolation of neutrophils with standard methods and culturing with pseudomonas in culture media with 1,2,3,4 McFarland tube concentrations, we interacted neutrophils and exotoxins for 15, 30, 45, and 60 minutes. Then we performed NBT test and evaluated the range of Pseudomonas exotoxins action on neutrophil apoptosis.

Result: Apoptosis was 100% in healthy adults, 81.8% in ill children, 90.8% in neonate and 51.9% in premature group. We observed no apoptosis in 1 and 2 McFarland. The 3 McFarland revealed 12.5% growth in healthy cases, 4.7% in ill children and 1% in neonate and premature. The mean apoptosis was time dependent among cases with the 68.5% apoptosis in healthy cases, 92.5% in immunocompromised, 94.7% in neonate and 98.6% in premature all at the end of first 15 minute. Analysis of apoptosis after 30 minute reveals significant differences in premature and other groups (0% Vs 6% of healthy, 5.2% of immunocompromised and 7.2% of neonate) (P<0.04).

Discussion: Current study discloses the role of Pseudomonas exotoxins on acceleration of neutrophil apoptosis in a time dependent manner. This effect is more significant in ill children and neonate cases.
 
Introduction
Nosocomial infections as the leading cause of mortality in the hospitals are mainly due to internal and external factors like immune system and hospital stay respectively. (1) Neutrophils constitute the mainstay of inflammatory response; they live upto 24 hours in peripheral circulation and apoptosis regulate their death. (2) Apoptosis of neutrophils are regulated by multiple mechanisms and products including cytokines.

Pseudomonas aeruginosa is an important germ of nosocomial infections in immunocompromised and immunocompetent patients, entails various exotoxins capable of provoking apoptosis. (1,3,4,5,6,7) The effects of P.A exotoxins on neutrophil apoptosis of healthy individuals have been assessed and investigated before. The exotoxins especially pyocyanin of P.A can promote apoptosis in neutrophils. Fas ligand has been described as the mechanism of induction of apoptosis by P.A. Evaluation of apoptosis related to P.A exotoxins in various immune system of cases has never been considered before.

Materials and Methods We studied 81 samples of whole blood form 20 healthy adults, 21 immunocompromised children, 20 term neonates in Mofid hospital and 21 preterm neonates from Mahdieh hospital. Inclusion criteria for healthy adults were devoid of any history of disease or taking medication. The immunocompromised cases were those admitted to the ward with definite diagnosis in Mofid hospital. Sampling was simple random. Ethical issues of asking consent for participation of adults, neonates and ill children have been practiced meticulously and with care. 50 µlit of neutrophils isolated specimen in a sterile tube interacted with 50 µlit of bacterial culture of 1,2,3,4 McFarland tube, the aliquot set in Ben Mary. Apoptosis defined as inability of NBT reduction in the production of Formozan crystals. These assessments done in 15, 30, 45, 60 minutes with different concentrations of bacteria (Macfarland 1,2,3,4).The analysis of statistical data done by kruskal Wallis non-parametric analysis by SPSS version 11.5.
 
Results
The sex distribution of samples in healthy, ill children, term and preterm neonates groups were (M: F) 11:9, 12: 9, 12: 8 and 9:11 respectively. The mean age in healthy group was 34.2±8.9 years (Range being 24 -48 years) and in ill children group was 6.5 ± 4.5 years (Range being 1 month - 18yrears). There weren't significant correlation between gender and neutrophil reduction of NBT in healthy adults. There were only significant difference in gender and neutrophils reduction of NBT (p<0/034) in male samples of ill children group being more that of Female sex (zero minute). Table 1 demonstrates the percentages of NBT reduction in zero, 30, 60 minutes in different groups.

Table 1.Median percentage of NBT reduction with neutrophils in different categories at 0, 30and 60 minutes

Zero Minute(Control ) (Min-Max) 30 minutes (Min-Max) 60 minutes (Min-Max)
Healthy Adult 100(100-100) 0(0-70) 0(0-0) ;
Ill children 93(0-97) 0(0-30) 0(0-10)
Term neonates 95(60-98) 2.5(0-50) 0(0-10)
Preterm Neonate 29(10-96) 0(0-0) 0(0-0)


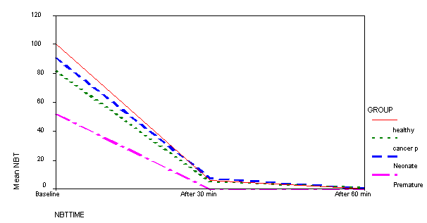
There has been a significant difference among four groups in 0 and 30 minutes results (p<0.01 and p<0.002 respectively). The discrepancy as depicted in figure 1 was mainly due to preterm and healthy adults' variation

Figure 1.Comparision of NBT reduction of Neutrophils.
Figure 1.Comparision of NBT reduction of Neutrophils.


Table 2 demonstrates the results of the apoptosis percentage in different groups. The difference between preterm neonates and other groups were significant.
Groups McFarland tube (3) McFarland tube (4)
Healthy 12.5 100
Ill children 4.76 100
Term neonates 1 100
Pre-term Neonates 0 100


Through the assessment of bacterial growth in McFarland media with various concentrations, we encountered that in McFarland 1, 2 numbers of bacteria for toxin production insufficient. These results specifically in preterm neonates and ill children cases are more susceptible to P.A than healthy adults. The investigation of NBT reduction at 30 and 60 minutes after toxin interaction with neutrophils revealed a time dependent manner .As shown in figure 2 as times pass the NBT reduction decreases.

Figure 2. NBT reduction with neutrophils at 30 and 60 minutes after interaction (Time dependent effect).
Figure 2. NBT reduction with neutrophils at 30 and 60 minutes after interaction (Time dependent effect).


In 0 minutes NBT reduction in preterm neonates was the lowest among all other groups. Although In 30 minutes all cases showed a remarkable decrease in the NBT reduction, preterm neonates' neutrophils NBT reduction decrease was more conspicuous and at 60 minutes all groups leveled at zero. Kruskal Wallis test revealed a significant difference between zero and 30 minutes p<0.000 and p<0.002). Mean apoptosis in 15 minutes among different groups varies and kruskal Wallis analysis test result was significant (p<0.002). In 30 minutes the preterm showed a significant difference (p<0.002) among groups (94% healthy, 94% ill children, 92 term and 100 preterm neonates). Nonetheless the mean apoptosis in 45 and 60 minutes were not significant (p<0.596 and p<0.314 respectively). Considering percent of NBT reduction with neutrophils by Post Hoc statistical method, we observed a significant difference in control group (zero minute) between healthy and ill children cases (p<0.022) and between healthy versus preterm neonates (p<0.000). Moreover, the difference between ill children cases and preterm neonates (p<0.000) and preterm versus term neonates were significant (p<0.000). Apoptosis and Percentage of NBT reduction with neutrophils at 30 minute between term versus preterm were significant (P<0.000 and p<0.056 respectively). Apoptosis difference in 15 minutes between ill children, term, preterm neonates and healthy adults was significant (p < 0.000). Moreover there is a significant difference in apoptosis between term and preterm neonates at 30 minutes. But there weren't any significant difference at any time between other groups.
 
Discussion
The crucial role of neutrophilic apoptosis in the resolution of inflammation process has already been acclaimed (8); however the implementation of apoptosis can be replaced by a sooner apoptosis caused by some pathogens which enable them to flee form host defense mechanisms. In our studies we evaluated 81 cases on the effect of P.A exotoxins in the early apoptosis with potential immunodeficiency. Although previous studies has proved the presence of such mechanisms, but all of them failed to consider the immune level of the patients and they only contributed to the evaluation of various strains and their toxins.

Neonates (term & preterm) in control group of our study showed neutrophilic function defect through NBT reduction analysis. However , Nazeeh Hanna et al study has already demonstrated apoptosis delay in neonates in comparison to adults; this apoptosis delay implicated by decreased neutrophils membranous phosphatidyl serine, caspase 3 and Bax,Bad,Bak apoptotic proteins.(9) In addition to term neonates, we have also included preterm neonates. Another study by Molly et al demonstrated a remarkable delay in apoptosis in term normal neonates in comparison to adults. The depressed level of caspase 3 in cord blood neutrophils probably resulted in a delayed apoptosis. Cortisol can prolong apoptosis, while increment of IL-6 & Cortisol after normal vaginal delivery accounted for the delay in neonates in comparison to cesarean sectioned delivered neonates. (10,11,12) Another important point is the type of neutrophils, as shown before immature neutrophils are increased in preterm neonates.(12, 13) In keeping with our results of Formol Mer Acetate in specimens of term and preterm neonates, the immature neutrophils demonstrated delayed apoptosis in HL-60 cells assessment. (14)

In a couple of studies, the preterm neonates neutrophils apoptosis procrastinated due to low IL-10 level and they are pre-disposed to chronic pulmonary disease and defective pulmonary rehabilitation. (15,16) Although Comparison of neutrophils apoptosis by P.A exotoxins in terms of gender considerations illustrated differences among cases but it was only significant in ill children cases( p<0/034). However, if we have had a greater number of cases and a narrower range of ages in our study we would have had a better insight to gender differences. Nonetheless, Molly et al described gender as an effective factor in apoptosis. They demonstrated that estradiol and progesterone in females slowed down the apoptosis of neutrophils. (18) Neutrophils killing of bacteria concept originated from the observation that not only bacterial secretions along with cytokines delay the apoptosis of neutrophils but also prolong their existence in tissues and increase destruction.(3) The immunocompromised cases are susceptible to P.A severe unrelenting infections. Ojielo et al study revealed that BMT cases even after neutropenic period when interacted with P.A their alveolar macrophages phagocytic ability decreased which left mices prone to infections.(19) This study did not consider the time of interaction between bacteria and neutrophils while we have shown that the time is an important factor in the exotoxins effect on neutrophils of immunocompromised cases.

Pseudomona as an opportunistic infection exacts multiple strategies to evade host immune system. (4,5) Secretions that affect phagocytosis and neutrophilic activations, cytotoxicity related to mitochondria (Secretary System III) and highly toxic pigments like pyocyanin are these mechanisms. (5) The induction of apoptosis by pyocyanin (the prevalent phenazin generated by P.A), even in very minute amount in sputum of cystic fibrosis cases, is remarkable as shown earlier in Wilson et al study. In our study we have considered exotoxins of P.A including pyocyanin but in more insightful categories of different immune systems ranging from healthy adults, term, preterm neonates and to ill children children. The molecular basis of pyocyanin related induction of apoptosis been studied in depth by Allen et al. The importance of pyocyanin in apoptosis of neutrophils and the lower level of IL-1 and IL-6 in wild type strains of P.A in comparison to pyocyanin-deficient strain of P.A.

In a study of Liu et al on neoplastic cells of squamous cell carcinoma, a delay in apoptosis of cells demonstrated , and adenovirus could promote apoptosis and death of neoplastic ells through acetyl transferase receptor activation.(20) As with other studies, Liu study focused on the apoptosis of neoplastic cells, while in our study we considered induced apoptosis of neutrophils in circulation . Moreover, the comparison of ill children, healthy and term, preterm neonates in apoptosis of neutrophils is being studied for the first time in our study.

Other micro-organisms like leishmania major, mycobacterium, Chlamydia showed to inhibit the apoptosis, while E.coli and C.albicans stimulate this process.(21,22) This information can be helpful to develop novel treatment methods like vaccination. Apart from these, Patricu et al and Kobota et al studied provided invaluable insight to the fact that implementation of certain factors like g-csf, being used for supporting immune system in responding antimicrobial assault to immunocompromised cases, can decelerate the apoptosis mechanism. Furthermore in squire et al study the inhibitory effect of some cytokines( IL-1,TNFβ,IL-6,INF,GM-CSF,and LPS.(23)

In conclusion, we demonstrated that the effect of P.A on neutrophil was time dependent and apoptosis evolved earlier in ill children, term and preterm neonates' orderly. The most unique aspect of this study was the evaluation of apoptosis in immunocompromised host. The greater susceptibility and apoptosis of neutrophils in immunocompromised cases to exotoxins of P.A can be a significant guide toward devising new methods of approaching management and treatment of ever-increasing and lethal infection of pseudomonas. The more detailed biochemical studies in differences in apoptosis between healthy and immunocompromised cases could open new promising horizons to this problem.
 
Compliance with Ethical Standards
Funding None
 
Conflict of Interest None
 
  1. Stephan F , Yang K , Tankovic J , Soussy CJ , Dhonneur G , Duvaldestin P , Brochard L , Brun-Buisson C , Harf A , Delclaux C. Impairment of polymorphonuclear neutrophil functions precedes nosocomial infections in critically ill patients. Crit Care Med. 2002 Feb; 30(2):315-22.  [CrossRef]  [PubMed]
  2. Usher L R, Lawson R.A, Geary I, Taylor C.J, et al. Induction of Neutrophil Apoptosis by the Pseudomonas aeruginosa Exotoxin Pyocyanin: A Potential Mechanism of Persistent Infection.The Journal of Immunology, 2002, 168 1861-1868.  [CrossRef]  [PubMed]
  3. Ojielo CI , Cooke K , Mancuso P , Standiford TJ , Olkiewicz KM , Clouthier S , Corrion L , Ballinger MN , Toews GB , Paine R 3rd , Moore BB. Defective phagocytosis and clearance of Pseudomonas aeruginosa in the lung following bone marrow transplantation. J Immunol. 2003 Oct 15; 171(8):4416-24.  [CrossRef]  [PubMed]
  4. Garau, J., and L. Gomez. Pseudomonas aeruginosa pneumonia. Curr. Opin. Infect. Dis. 2003 16:135.  [CrossRef]  [PubMed]
  5. Buret, A., and A. W. Cripps. The immunoevasive activities of Pseudomonas aeruginosa: relevance for cystic fibrosis. Am. Rev. Respir. Dis. 1993 ,148:793.  [CrossRef]  [PubMed]
  6. Wilson, R., D. A. Sykes, D. Watson, A. Rutman, G. W. Taylor, and P. J. Cole. Measurement of Pseudomonas aeruginosa phenazine pigments in sputum and assessment of their contribution to sputum sol toxicity for respiratory epithelium. Infect. Immun. 1988; 56:2515.  [PubMed]  [PMC free article]
  7. Ger van Zandbergen,*, Jens Gieffers*, Henning Kothe. Chlamydia pneumoniae Multiply in Neutrophil Granulocytes and Delay Their Spontaneous ApoptosisThe Journal of Immunology , 2004, 172: 1768-1776.  [CrossRef]  [PubMed]
  8. Zychlinsky, A., and P. Sansonetti. Perspectives series: host/pathogen interactions: apoptosis in bacterial pathogenesis. J. Clin. Invest. 1997; 100:493.  [CrossRef]  [PubMed]  [PMC free article]
  9. Nazeeh Hanna, Pedro Vasquez ,.Mechanisms Underlying Reduced Apoptosis in Neonatal NeutrophilsMechanisms Underlying Reduced Apoptosis in Neonatal Neutrophils.Pediatric Research.2005.  [CrossRef]
  10. Elenor J.Molloy et al. labor promotes neonatal neutrophil survival and LPS responsiveness.pediatric research.2004, 56:99-103.
  11. Patrick J. Leavey, Karen S. Sellins, Gail Thurman.-In Vivo Treatment With Granulocyte Colony-Stimulating Factor Results in Divergent Effects on Neutrophil Functions Measured InVitro. Immunology and Biometrics, 1998, 20:234-240.
  12. Meagher LC, Cousin JM, Seckl JR, Haslett C Opposing effects of glucocorticoids on the rate of apoptosis in neutrophilic and eosinophilic granulocytes. J Immunol-1996- 156: 4422-4428.
  13. Mouzinho A, Rosenfeld CR, Sanchez PJ, Risser R. Revised reference ranges for circulating neutrophils in very-low-birth-weight neonates. Pediatrics. 1994 Jul;94(1):76-82.  [PubMed]
  14. Peng CT, Lin HC, Lin YJ, Tsai CH , Yeh TF. Early dexamethasone therapy and blood cell count in preterm infants. Pediatrics. 1999 Sep; 104(3 Pt 1):476-81.  [CrossRef]  [PubMed]
  15. Doyle BT, O'Neill AJ, Fitzpatrick JM, Watson RW. Differentiation- induced HL-60 cell apoptosis: a mechanism independent of mitochondrial disruption- Apoptosis. 2004 May;9(3):345-52.
  16. S Kotecha, R J Mildner, L R Prince, J R Vyas, A E Currie, R A Lawson, and M K B Whyte The role of neutrophil apoptosis in the resolution of acute lung injury in newborn infants.Thorax 2003; 58: 961-96.  [CrossRef]  [PubMed]  [PMC free article]
  17. J Oei, K Lui, H Wang and R Henry Decreased neutrophil apoptosis in tracheal fluids of preterm infants at risk of chronic lung disease.Archives of Disease in Childhood Fetal and Neonatal Edition 2003;88:F245.  [CrossRef]  [PubMed]  [PMC free article]
  18. Molloy EJ, O'Neill AJ, Grantham J, Sheridan-Pereira M, Fitzpatrick JM, Webb DW, Watson RWG. Gender-specific alterations in neutrophil apoptosis: the role of estradiol and progesterone. Blood. 2003, 102:2653-2659.  [CrossRef]  [PubMed]
  19. Lucy Allen L, Dockrell D.H, Pattery T., Lee D.G., Cornelis P, et al. Pyocyanin Production by Pseudomonas aeruginosa Induces Neutrophil Apoptosis and Impairs Neutrophil- Mediated Host Defenses In Vivo. The Journal of Immunology, 2005, 174: 3643-3649.  [CrossRef]  [PubMed]
  20. Liu TJ , Wang M, Breax RL,Henderson Y.Apoptosis induction by E2F-1 via adenoviral-mediated gene trancfer results in growth suppression of head and neck squamous cell carcinoma cell lines.immunocompromised Gene Ther. 1999 , Mar-Apr;6(2):163-71.
  21. Aga, E., D. M. Katschinski, G. Van Zandbergen, H. Laufs, B. Hansen, K. Muller, W. Solbach, T. Laskay. Inhibition of the spontaneous apoptosis of neutrophil granulocytes by the intracellular parasite Leishmania major. J. Immunol. 2002- 169:898.
  22. Suttmann H, Lehan N, Bohle A, Brandau S.Stimulation of Neutrophil Granulocytes with Mycobacterium.Infection and Immunity, Infect Immun 2003; 71 (8), 4647-4656.  [CrossRef]  [PubMed]  [PMC free article]
  23. Squier MK, Sehnert AJ, Cohen JJ: Apoptosis in leukocytes. J Leukoc Bio Adachi 2002, 16: 124-131.


Cite this article as:
Khazaee S, Karimi A, Fallah F, Taheri A S, F, Armin S. Comparison of Neutrophil Apoptosis by the Pseudomonas Aeruginosa Exotoxins Between Healthy Adults, Immunocompromised Children and Neonate. Pediatr Oncall J. 2007;4: 6-9.
Creative Commons License This work is licensed under a Creative Commons Attribution-NonCommercial-ShareAlike 4.0 International License
Disclaimer: The information given by www.pediatriconcall.com is provided by medical and paramedical & Health providers voluntarily for display & is meant only for informational purpose. The site does not guarantee the accuracy or authenticity of the information. Use of any information is solely at the user's own risk. The appearance of advertisement or product information in the various section in the website does not constitute an endorsement or approval by Pediatric Oncall of the quality or value of the said product or of claims made by its manufacturer.
0 0 0 0 0 0 0 0 0 0 0 0 0 0 0 0 0